
За какие автомобили украинцы должны оплатить ежегодный налог – известны и штрафы
На дорогах Украины довольно много автомобилей премиум-класса. Зачастую их приобретают для того, чтобы подчеркнуть статус. Однако помимо престижа, такие машины приносят их владельцам и дополнительные расходы в виде транспортного налога.
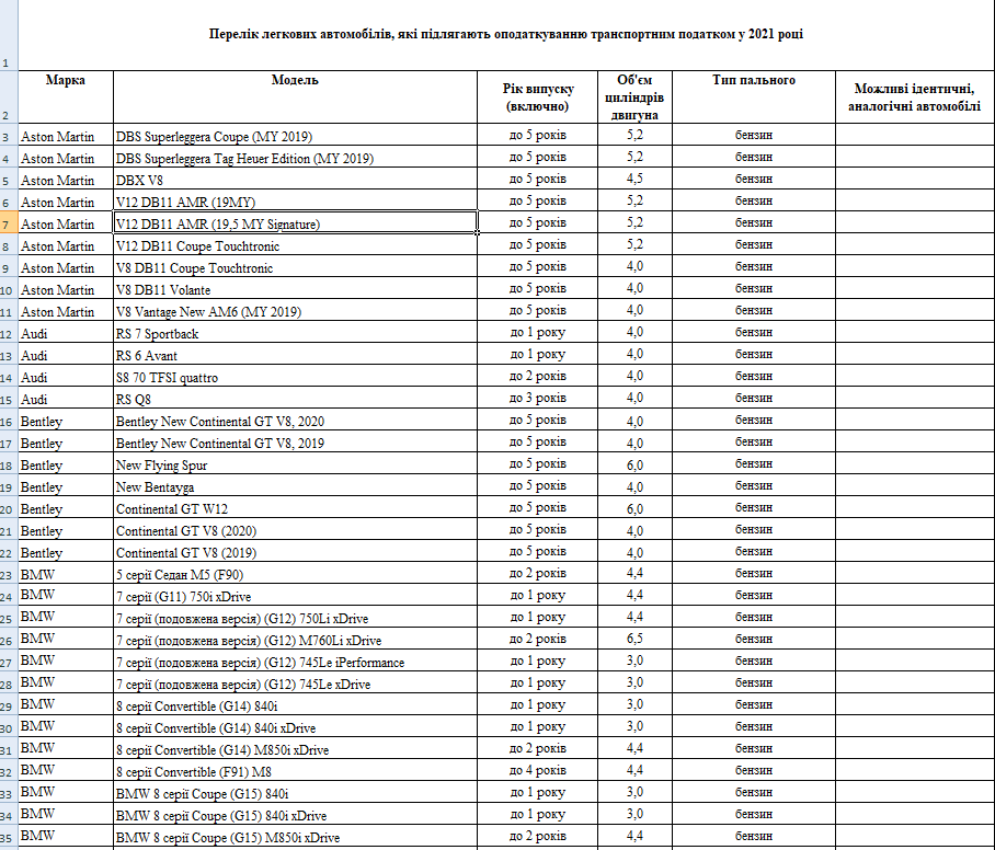
Налогом в размере 25 000 грн облагаются транспортные средства возрастом до пяти лет, рыночная стоимость которых превышает 375 минимальных заработных плат или 2,2 миллиона грн. Рассчитывать самостоятельно, является ли ваше авто объектом «налога на роскошь», не нужно. Министерство экономического развития ежегодно публикует на своем сайте полный список всех транспортных средств, на которые распространяется ежегодный транспортный налог. Расчет стоимости проводят по формуле: Сср = Цн х (Г / 100), где Сср – это среднерыночная стоимость машины, а Цн – стоимость новой машины в Украине. Последнюю умножают на коэффициент корректировки рыночной стоимости машины с учетом срока ее эксплуатации.

В случае отсутствия уплаты налога на протяжении 60 дней после публикации перечня моделей, к владельцу авто будут применены штрафные санкции. Так, если оплатить транспортный налог в первые 90 дней, то к сумме будет добавлены 10%, а если затянуть еще дольше, то прирастет 20%. Также на машину могут наложить арест. Пользоваться ею можно будет и дальше, но вот продать или подарить – нет. Кроме того, налоговики могут конфисковать машину и выставить на продажу для того, чтобы получить указанную сумму. Остаток средств от продажи авто вернут его владельцу.































